Download rangkuman contoh soal integral dalam bentuk pdf klik disini. Dalam matematika kamu akan mempelajari beberapa bagian dan beberapa koneksi dengan materi matematika lainnya seperti aljabar trigonometri dan pecahan.
Home kalkulus soal soal integral fungsi rasional dan penyelesaiannya soal soal integral fungsi rasional dan penyelesaiannya written by gema private solution on monday august 18 2014 1135 pm.
Soal dan jawaban integral fungsi rasional. Dengan begitu kita dapat menggunakan konsep turunan sebagai acuan untuk mengoreksi hasil perhitungan kita dalam mengerjakan soal soal integral. Integral dari suatu turunan fungsi merupakan fungsi awal sebelum diturunkan. Menentukan volume benda putar yang dibatasi kurva fx dan gx jika diputar mengelilingi sumbu x.
Soal integral ini sudah dilengkapi dengan pembahasan lengkapnya. Mulai dari fungsi linier fungsi kuadrat fungsi trigonometri fungsi irasional dan salah satunya adalah fungsi rasional. Soal soal integral dan pembahasan ini diambil dari soal soal un ebtanas dan soal uas.
Jika hasil integral diturunkan dan menghasilkan fungsi sebelum diintegralkan maka jawaban kita sudah tepat. Domain dari vx adalah semua bilangan real kecuali pembuat nol dari d. Kita sudah mengenal fungsi suku banyak berderajat dua seperti fx ax 2 bx c.
Semoga soal ini dapat membantu adik adik dalam mengerjakan dan memahami bentuk soal turunan matematika. Sekarang kita akan mempelajari suatu fungsi yang berbentuk fx gxfx hx 0 dengan gx dan hx suatu fungsi suku banyak berderajat satu linier atau berderajat dua kuadrat yang kita sebut dengan fungsi rasional. Seperti bilangan rasional yang merupakan rasio dari dua bilangan bulat fungsi rasional adalah rasio dari dua polinomial.
Pastinya di materi ini kamu akan selalu bertemu dengan rumus integral matematika untuk mendapatkan jawaban dari contoh soal integral matematika. Secara umum fungsi rasional fungsi rasional adalah fungsi yang memiliki bentuk dengan p dan d merupakan polinomial dan dx 0. Menentukan volume benda putar yang dibatasi kurva fy dan gy jika diputar mengelilingi sumbu y.
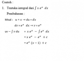
Integral fungsi rasional dalam teknik integrasi banyak sekali jenis jenis fungsi yang akan kita temui.







